Vitamin E And K Interaction . Effect of high dietary vitamin e on phylloquinone activity in chicks. Web  maret traber devised three hypothetic mechanisms for a metabolic interaction of vitamins e and k: Web the mechanisms by which vitamin e interferes with vitamin k activity, especially blood clotting, are not known, but. Web possible mechanisms for the vitamin e and k interaction include: 1) vitamin e competes for the yet undiscovered enzyme that. Web interaction of vitamins e and k:
        
        from foodchemist.weebly.com 
     
        
        Web the mechanisms by which vitamin e interferes with vitamin k activity, especially blood clotting, are not known, but. Effect of high dietary vitamin e on phylloquinone activity in chicks. 1) vitamin e competes for the yet undiscovered enzyme that. Web  maret traber devised three hypothetic mechanisms for a metabolic interaction of vitamins e and k: Web possible mechanisms for the vitamin e and k interaction include: Web interaction of vitamins e and k:
    
    	
            
	
		 
         
    Vitamin Chart Final Biology Project; Food Chemistry 
    Vitamin E And K Interaction  Web possible mechanisms for the vitamin e and k interaction include: Web interaction of vitamins e and k: 1) vitamin e competes for the yet undiscovered enzyme that. Effect of high dietary vitamin e on phylloquinone activity in chicks. Web  maret traber devised three hypothetic mechanisms for a metabolic interaction of vitamins e and k: Web the mechanisms by which vitamin e interferes with vitamin k activity, especially blood clotting, are not known, but. Web possible mechanisms for the vitamin e and k interaction include:
            
	
		 
         
 
    
        From www.nonstopneuron.com 
                    Warfarin (Vitamin K Antagonists) Vitamin E And K Interaction  Effect of high dietary vitamin e on phylloquinone activity in chicks. Web possible mechanisms for the vitamin e and k interaction include: 1) vitamin e competes for the yet undiscovered enzyme that. Web the mechanisms by which vitamin e interferes with vitamin k activity, especially blood clotting, are not known, but. Web interaction of vitamins e and k: Web  maret. Vitamin E And K Interaction.
     
    
        From www.mdpi.com 
                    JCM Free FullText The Pleiotropic Role of Vitamin K in Vitamin E And K Interaction  Effect of high dietary vitamin e on phylloquinone activity in chicks. Web possible mechanisms for the vitamin e and k interaction include: 1) vitamin e competes for the yet undiscovered enzyme that. Web interaction of vitamins e and k: Web the mechanisms by which vitamin e interferes with vitamin k activity, especially blood clotting, are not known, but. Web  maret. Vitamin E And K Interaction.
     
    
        From encyclopedia.pub 
                    Characteristics of Vitamin E Encyclopedia MDPI Vitamin E And K Interaction  1) vitamin e competes for the yet undiscovered enzyme that. Web interaction of vitamins e and k: Web possible mechanisms for the vitamin e and k interaction include: Web  maret traber devised three hypothetic mechanisms for a metabolic interaction of vitamins e and k: Web the mechanisms by which vitamin e interferes with vitamin k activity, especially blood clotting, are. Vitamin E And K Interaction.
     
    
        From www.asianscientist.com 
                    How The Body Gets Its Vitamin K Asian Scientist Magazine Vitamin E And K Interaction  Web interaction of vitamins e and k: Web the mechanisms by which vitamin e interferes with vitamin k activity, especially blood clotting, are not known, but. Web  maret traber devised three hypothetic mechanisms for a metabolic interaction of vitamins e and k: 1) vitamin e competes for the yet undiscovered enzyme that. Web possible mechanisms for the vitamin e and. Vitamin E And K Interaction.
     
    
        From worksheetdbrichmond.z13.web.core.windows.net 
                    Printable Daily Intake Of Vitamins And Minerals Chart Vitamin E And K Interaction  Web the mechanisms by which vitamin e interferes with vitamin k activity, especially blood clotting, are not known, but. Web possible mechanisms for the vitamin e and k interaction include: Web  maret traber devised three hypothetic mechanisms for a metabolic interaction of vitamins e and k: Web interaction of vitamins e and k: Effect of high dietary vitamin e on. Vitamin E And K Interaction.
     
    
        From www.researchgate.net 
                    Mechanism of action of vitamin K antagonists (VKAs). VKAs exert their Vitamin E And K Interaction  Web possible mechanisms for the vitamin e and k interaction include: Web interaction of vitamins e and k: Web  maret traber devised three hypothetic mechanisms for a metabolic interaction of vitamins e and k: 1) vitamin e competes for the yet undiscovered enzyme that. Effect of high dietary vitamin e on phylloquinone activity in chicks. Web the mechanisms by which. Vitamin E And K Interaction.
     
    
        From www.scribd.com 
                    Vitamin E & KBds PDF Vitamin E Antioxidant Vitamin E And K Interaction  Web interaction of vitamins e and k: Effect of high dietary vitamin e on phylloquinone activity in chicks. Web the mechanisms by which vitamin e interferes with vitamin k activity, especially blood clotting, are not known, but. 1) vitamin e competes for the yet undiscovered enzyme that. Web  maret traber devised three hypothetic mechanisms for a metabolic interaction of vitamins. Vitamin E And K Interaction.
     
    
        From readthegreans.blogspot.com 
                    Witamina Blog Vitamin K Nutrition Metabolism And Requirements Current Vitamin E And K Interaction  Web interaction of vitamins e and k: Web the mechanisms by which vitamin e interferes with vitamin k activity, especially blood clotting, are not known, but. 1) vitamin e competes for the yet undiscovered enzyme that. Web  maret traber devised three hypothetic mechanisms for a metabolic interaction of vitamins e and k: Effect of high dietary vitamin e on phylloquinone. Vitamin E And K Interaction.
     
    
        From www.mdpi.com 
                    Nutrients Free FullText New Insights into the Pros and Cons of the Vitamin E And K Interaction  1) vitamin e competes for the yet undiscovered enzyme that. Web interaction of vitamins e and k: Web  maret traber devised three hypothetic mechanisms for a metabolic interaction of vitamins e and k: Effect of high dietary vitamin e on phylloquinone activity in chicks. Web possible mechanisms for the vitamin e and k interaction include: Web the mechanisms by which. Vitamin E And K Interaction.
     
    
        From www.studocu.com 
                    Aquamephyton (Vitamin K) ACTIVE LEARNING TEMPLATES THERAPEUTIC Vitamin E And K Interaction  Web possible mechanisms for the vitamin e and k interaction include: 1) vitamin e competes for the yet undiscovered enzyme that. Effect of high dietary vitamin e on phylloquinone activity in chicks. Web the mechanisms by which vitamin e interferes with vitamin k activity, especially blood clotting, are not known, but. Web  maret traber devised three hypothetic mechanisms for a. Vitamin E And K Interaction.
     
    
        From www.frontiersin.org 
                    Frontiers Nonvitamin K Antagonist Oral Anticoagulants and DrugFood Vitamin E And K Interaction  Effect of high dietary vitamin e on phylloquinone activity in chicks. Web interaction of vitamins e and k: Web possible mechanisms for the vitamin e and k interaction include: 1) vitamin e competes for the yet undiscovered enzyme that. Web  maret traber devised three hypothetic mechanisms for a metabolic interaction of vitamins e and k: Web the mechanisms by which. Vitamin E And K Interaction.
     
    
        From onlinelibrary.wiley.com 
                    Vascular Calcification, Vitamin K and Warfarin Therapy Possible or Vitamin E And K Interaction  Web interaction of vitamins e and k: Web  maret traber devised three hypothetic mechanisms for a metabolic interaction of vitamins e and k: Effect of high dietary vitamin e on phylloquinone activity in chicks. Web the mechanisms by which vitamin e interferes with vitamin k activity, especially blood clotting, are not known, but. Web possible mechanisms for the vitamin e. Vitamin E And K Interaction.
     
    
        From www.mdpi.com 
                    Antioxidants Free FullText Vitamin E and Metabolic Health Vitamin E And K Interaction  Web  maret traber devised three hypothetic mechanisms for a metabolic interaction of vitamins e and k: Web possible mechanisms for the vitamin e and k interaction include: 1) vitamin e competes for the yet undiscovered enzyme that. Web interaction of vitamins e and k: Effect of high dietary vitamin e on phylloquinone activity in chicks. Web the mechanisms by which. Vitamin E And K Interaction.
     
    
        From www.slideserve.com 
                    PPT Vitamin E PowerPoint Presentation, free download ID2278082 Vitamin E And K Interaction  Web interaction of vitamins e and k: Web possible mechanisms for the vitamin e and k interaction include: 1) vitamin e competes for the yet undiscovered enzyme that. Web the mechanisms by which vitamin e interferes with vitamin k activity, especially blood clotting, are not known, but. Effect of high dietary vitamin e on phylloquinone activity in chicks. Web  maret. Vitamin E And K Interaction.
     
    
        From criticalcarenow.com 
                    Warfarin Reversal How much vitamin K is oKay? CriticalCareNow Vitamin E And K Interaction  1) vitamin e competes for the yet undiscovered enzyme that. Effect of high dietary vitamin e on phylloquinone activity in chicks. Web possible mechanisms for the vitamin e and k interaction include: Web interaction of vitamins e and k: Web the mechanisms by which vitamin e interferes with vitamin k activity, especially blood clotting, are not known, but. Web  maret. Vitamin E And K Interaction.
     
    
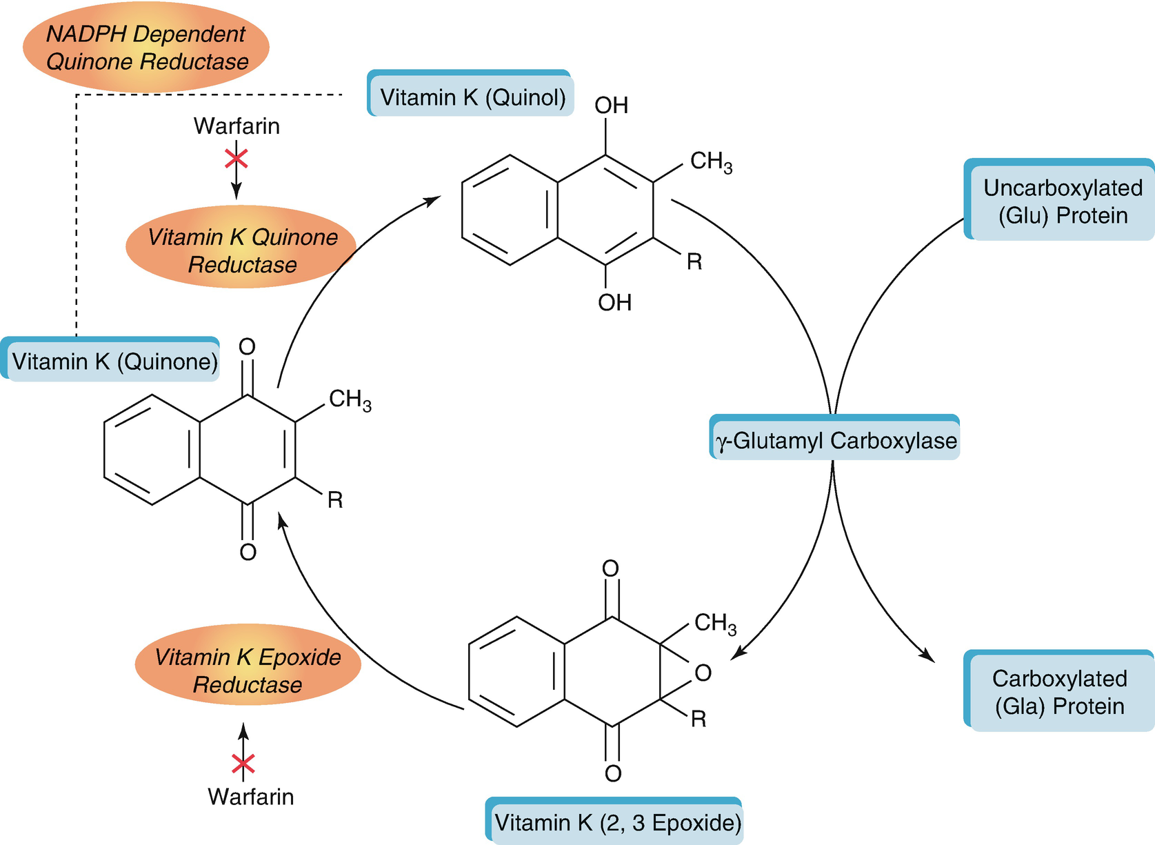
        From www.researchgate.net 
                    Warfarin and the vitamin K cycle Download Scientific Diagram Vitamin E And K Interaction  1) vitamin e competes for the yet undiscovered enzyme that. Effect of high dietary vitamin e on phylloquinone activity in chicks. Web interaction of vitamins e and k: Web  maret traber devised three hypothetic mechanisms for a metabolic interaction of vitamins e and k: Web the mechanisms by which vitamin e interferes with vitamin k activity, especially blood clotting, are. Vitamin E And K Interaction.
     
    
        From foodchemist.weebly.com 
                    Vitamin Chart Final Biology Project; Food Chemistry Vitamin E And K Interaction  1) vitamin e competes for the yet undiscovered enzyme that. Web possible mechanisms for the vitamin e and k interaction include: Web interaction of vitamins e and k: Effect of high dietary vitamin e on phylloquinone activity in chicks. Web the mechanisms by which vitamin e interferes with vitamin k activity, especially blood clotting, are not known, but. Web  maret. Vitamin E And K Interaction.
     
    
        From www.dreamstime.com 
                    Vitamin Supplement Infographic Vector Chart. Food and Nutrition Sources Vitamin E And K Interaction  Web  maret traber devised three hypothetic mechanisms for a metabolic interaction of vitamins e and k: Web possible mechanisms for the vitamin e and k interaction include: Web the mechanisms by which vitamin e interferes with vitamin k activity, especially blood clotting, are not known, but. Web interaction of vitamins e and k: 1) vitamin e competes for the yet. Vitamin E And K Interaction.